重ね描き日記(rmaruy_blogあらため)

読書メモ、探究メモなど。

An Unprecedented Textbook of General Relativity: How a 15-year-old Can be Introduced to Einstein’s Equations

For those who have learned physics in college, it should be unbelievable if I said that someone wrote a textbook on general relativity for a 15-year-old. That's impossible, you might say. One needs years of training in mathematics and physics before you get to understand the subject.

But there exists such a textbook, and it is really readable with only high school entrance level mathematics.... at least in theory.

I am referring to ブラックホールと時空の方程式:15歳からの一般相対論』(direct translation: “Equations of Black-holes and Spacetime: General Relativity for 15-year -olds and over”. 

ブラックホールと時空の方程式:15歳からの一般相対論
 

The book is written by Dr. Shimpei Kobayashi (Shinpei Kobayashi), an associate professor at Tokyo Gakugei University located in Tokyo, Japan. He is a theoretical physicist and has worked on cosmology and quantum gravity.

Beside this book and his usual research he has done many extraordinary things. Top among them is a YouTube live streaming of 24-hours lecture performed in March in order to encourage students who were forced to stay at home under Covid-19. This is 16 consecutive lectures covering all of high school level physics. Without sleep, he kept talking and talking in front of the blackboard (though he claims to have almost lost control of himself during the thermodynamics section).

With such characteristic recklessness, he has written this textbook. To me, a book editor who helped him publish the book, this was a great success. It has sold well, and got very good reviews (I received many letters from the readers, some of them hand-written). The largest group of readers would be university students, but it was read by a wide range of people, from high school students to a retired person studying physics as a hobby. I've even heard of a mother who bought the book for her children in elementary school.

You should be thinking, well... this must be another version of a "popular science relativity book", trying to entertain the readers without mathematical details. It is not. It contains equations after equations, and is really trying to explain what general relativity (in particular, the formula for spherical black-hole) is about in mathematical and physical sense.

How can that be possible? For this author had to come up with many "tricks". The biggest among them was to show the full-spec equation head start, and then "reverse engineer" it.

In Chapter 1, the author shows the Schwarzschild solution of the Einstein's equation:

f:id:rmaruy:20200723204602p:plain

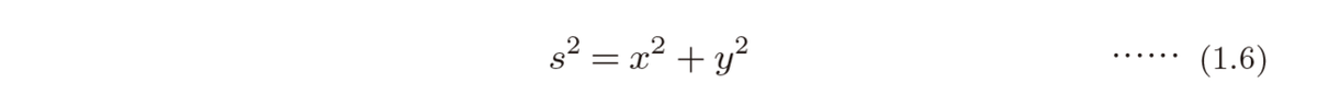
This is a metric of spacetime corresponding to a spherical black-hole. And then he  boldly (and at the same time carefully) argues that this is essentially Pythagorean theorem:

f:id:rmaruy:20200723204625p:plain

which should be familiar to a 15-year-old. Thus the endeavor to understand general relativity (Schwarzschild solution in particular) becomes a step-by-step path from Pythagorean theorem to eq(1.1). The book introduces the mathematics and physics needed to do that. 

Here's the table of contents (the translation is my own):

  • Ch.1 Describing a black-hole: how to see world through the lense of mathematics
  • Ch.2 Measure a distance: line element and differentiation/integration
  • Ch.3 Change the measure: from Cartesian to polar coordinates
  • Ch.4 Increase dimensions: partial differentiation and 3d polar coordinates
  • Ch.5 From "time and space" to "spacetime": special relativity
  • Ch.6 Describe a bend of the space: vector and curvature
  • Ch.7 Gravity is the curvature of spacetime: general relativity
  • Ch.8 Derive a black-hole solution: Einstein's equation and Schwarzschild solution

Through the chapters, the readers are introduced to new mathematical and physical concepts with colorful examples and analogies.

Can a 15-year-old REALLY read through the book? Probably not, since the later chapters contain complicated equations of Riemannian geometry, and few readers without prior training should have the stamina to follow them all. Still this book, in principle, contains all the ingredients needed to go all the way up to Einstein's equations. A 16-year-old may give up  following equations in Ch.5, but she can read the text until the end, and continue following the equations whenever she feels ready.

One last thing I want to emphasize. Although the book is about general relativity, its true theme is to give readers the sense of "seeing the world through the eyes of a physicist".  It is amazing how rich our perspectives become after we truly know what relativity or quantum theory is about. And it is only achievable through the language of physics, namely, mathematics. That's why such perspective of the world has been dominated by those who took proper training in physics. But that's beginning to change, since sincere physicists like Dr. Kobayashi is inventing a shortcut that will help make the subject open to everyone.

Unfortunately, the book is available only in Japanese. I don't have a particular idea, but it would be wonderful if we have a chance to translate it into English (even part of the book). Please contact me or the author if you are interested in reading the book in English.

 

For Japanese readers(日本語の紹介文はこちら):